티스토리 뷰
목차
6월 26일 성수동 오티에르 포레가 공개되었죠.
분양가에 한번 놀라고, 6.27 대출규제에 2번 놀라서 청약을 넣을 예정이었던 분들은 모두 패닉에 빠졌습니다.
만약 정말 6.27 대출규제를 빗겨나가서 주택담보대출은 받을 수 있다고 쳐도,
주택담보대출이 남아있는 상태에서 전세 세입자의 전세대출이 1%도 나오지 않게 되면서 전세 세입자를 받기 어렵게 되었습니다....
이 상황에서
실거주 수요자 및 투자자 모두가 궁금해할 정말 시세차익 10억인가?에 대해서 한눈에 보기 쉽게 정리해드립니다.
1. 사업개요

- 분양공고: 2025년 6월 26일
- 청약접수: 2025년 7월 7일 ~ 7월 9일
- 입주예정일: 2027년 7월 예정
- 실거주의무 : 없음
- 전매제한 : 1년
너무 좋은 조건이다. 비규제지역이라 분상제 미적용.
전매제한 1년이라 1년뒤에 분양권 매도 가능하며,
거주의무기간도 없어서 전세 들여서 대출상환도 노려볼 수 있었는데...
6.27 대출규제에 따라 모든게 달라졌다.
1. 잔금대출 : 6월 26일 모집공고일이므로 잔금대출 6억 제한은 해당이 되지 않는다(국민신문고로 물어봄). 그러나, 정말 정확한 확답은 당첨자 발표일 전에 나온다고 한다!!(오티에르 포레 측 답변)
2. 전세입자의 전세대출 불가 : 전세를 줄때 전세들어오는 세입자가 전세대출을 받을때, 내 오티에르 포레에 주담대대출이 있다? 그럼 전세대출이 나오지 않는다.
오티에르 포레의 입주시기는 2027년 7월. 그때까지 20억의 돈을 다 갚을 능력이 있는 자만이 전세를 돌릴 수 있다.
현금부자들만 청약을 할 수 있는 시장이 열린 것이다.
그렇다고해서 수도권 집값이 떨어질까?
아니. 부촌은 그대로고 영끌한 신혼부부들이 사는 외곽이나 경기도 지역만 내가 산 가격보다 더 떨어질까봐 덜덜 거리면서 매일 주식처럼 처다보다가 1천만원 2천만원씩 낮추다가 더 낮춰서 팔겠지. 뻔하다.
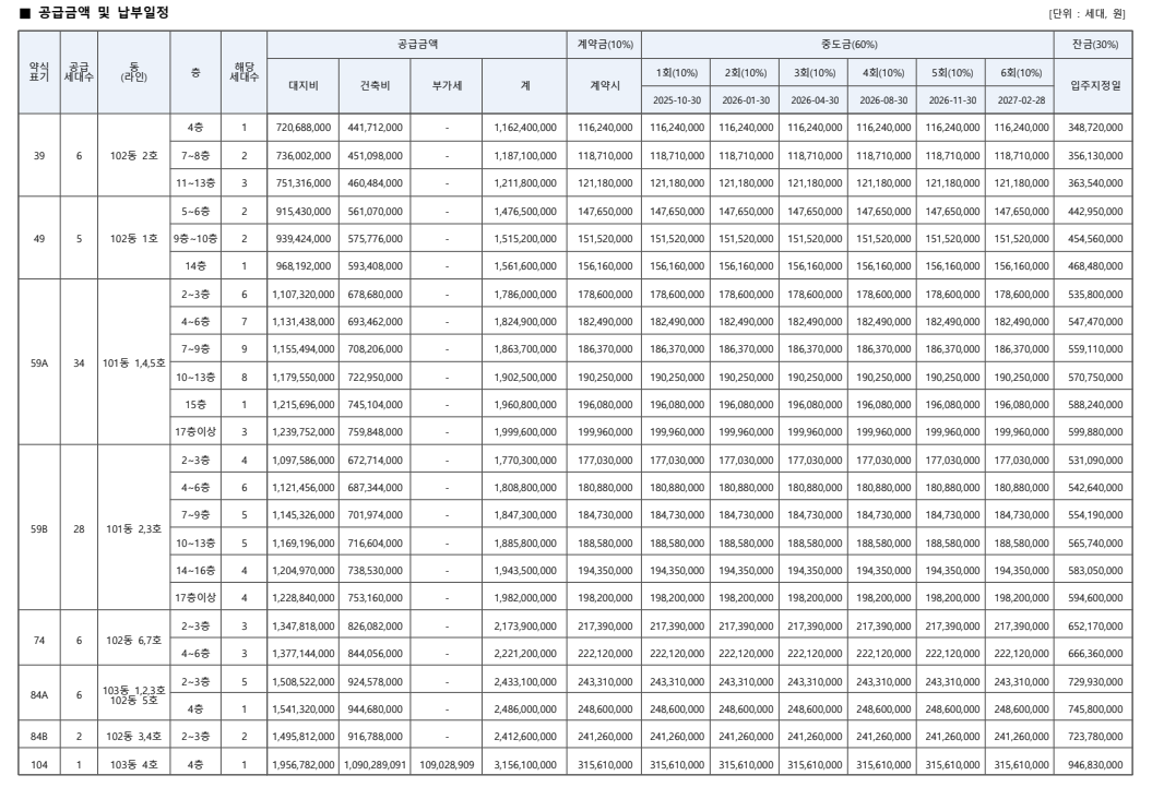
2. 분양가
| 타입 | 총 세대수 | 일반분양 | 분양가(최고가) |
| 39 | 15 | 6 | 12.1억 |
| 49 | 14 | 5 | 15.6억 |
| 59A | 90 | 34 | 19.9억 |
| 59B | 28 | 19.8억 | |
| 74 | 35 | 6 | 22.2억 |
| 84A | 96 | 6 | 24.8억 |
| 84B | 2 | 24.1억 | |
| 104 | 37 | 1 | 31.5억 |
- 공급세대수

총 88세대 일반분양에 나오며, 평당가는 7,800만원입니다.
터무니 없이 비싸죠.
래미안 원펜타스, 잠실래미안아이파크, 라체르보 푸르지오 써밋 등과 비교했을때 터무니 없이 비싸게 분양가가 나왔습니다.
- 분양가

3. 성수 오티에르포레 단점 (시세차익)
안전마진이 각종 언론 매체에 10억 이상으로 있을 것이라 보도 되었지만, 많은 사람들이 의구심을 가지고 있죠.
성수 오티에르 포레 단점
1. 소형 단지 : 287세대
2. 층수(최대 20층) : 주변에 초고층 건물에 둘러싸여서 혼자만 20층임 (ex. 아크로서울 포레스트 47층)
3. 커뮤니티 : 분양가에 비해서 너무 소형 단지라 요즘 브랜드 아파트 커뮤니티를 따라가질 못함.
4. 뷰 : 부영그룹 호텔 48층 + 아크로서울 포레스트 47층 한강뷰는 다 막힐 예정이고, 서울숲 뷰도 곧 막힐 예정임
5. 시세차익 : 트리마제(84타입 40억) 에 비교해서 보도자료에는 10억 시세차익이라 보도 되었지만, 그럼 아크로서울 포레스(60평 135억), 한화 갤러리아 포레(최소 70평 84억)와도 비교하는게 맞지 않나? 그렇다 비교할 수가 없다. 왜냐하면 아크로서울 포레스트, 한화 갤러리아 포레는 정말 부촌이기 때문이다.
그렇다면 오티에르 포레 청약을 넣는게 맞을까?
성수 오티에르 포레 장점
1. 입지 : 젠틀몬스터 본사, 무신사, SM 본사, 발렌시아가 연예인들의 쇼핑센터 핫플 중에 핫플이다. 입지 최강중에 최강이다.
2. 수요 : 젊은 사람들의 니즈가 있다. " 성수동에 살아보고 싶다" 졸부들이 많은 동네로 성수동이 꼽힌다.
3. 성수제1지구재개발구역 : 성수동의 한강변 듣보잡 아파들들이 35억씩 한다. 왜? 재개발 추진 중으로 개발만 되면 또 다른 부자 아파트가 될 것이기 때문에 미래가치에 투자해서 이런 아파트에 사는 것이다. 이쪽 아파트들은 5층까지는 담벼락 뷰이며, 11층 부터 강변대로 뷰인데 방음이 똥이라서 창문을 열고 살 수가 없다. 정말 미래가치에 투자하는 것이다 35억을.
4. 시세차익 : 취득세, 확장 (옵션은 무상지원 된다) 그리고 1년 뒤에 분양권을 매도한다면 양도소득세도 과세될 것이다. 그럼 최소 2억~2.5억은 더 녹여야된다고 생각하면 된다. 그럼 시세차익은 2~3억 정도라 볼 수 있다. 물론 10년뒤에는 10억이 될 수 있는 입지긴 하다. 입지는 깡패.
필터링 기준이 생기는데 도움이 되었길 바란다.
사실 입지는 정말 최강이기에 10년뒤에는 좋은 아파트라 불릴 것이다(물론, 10년이면 모든 아파트가 1억은 오른닼ㅋㅋ. 지금이 젤 싸다.)
나도 그렇고 청약만이 답이 아닐때가 있다.
시세차익 너무 좋지만 부동산 시장은 어차피 우상향이다. 주식처럼 매일봐서 문제지 10년, 20년 후에는 모든 아파트가 오른다.
그렇다면 필터링 기준은 나에게 있다.
학군? 입지? 인프라? 어떤게 제일 중요해?
답이 되었길 바란다.
4. 단지배치도
5. 타입별 평면도
59A 타입
59B 타입
74 타입
84A 타입
84B 타입
전용면적 45㎡, 51㎡, 59㎡, 74㎡, 84㎡ 등 중소형 위주 구성 예상
성수 장미아파트는 실수요 중심의 중소형 평형 중심으로 구성될 예정이며,
가장 일반적인 59㎡ 3룸 구조는 3베이 혹은 4베이로 설계될 가능성이 높습니다.
실거주 수요를 고려해 방 3, 욕실 2 구조가 기본이 될 것으로 보입니다.










